В свою очередь дальность причуивания зависит от процесса распространения запаха дичи. Математическая модель распространения запаха исследовалась в более ранних работах.
Предлагаемый материал представляет результат продолжения этой работы, вызванный реакцией на эту работу на сайте (http://nataska.ru/forum.aspx?tft=3364&tfmp=3)
В некоторых замечаниях были высказаны пожелания рассмотреть более широкий диапазон силы ветра и различные величины коэффициента диффузии, исвользованные при моделировании распространения запаха дичи под действием ветра.
При знакомстве с работами, сязанными с этой задачей бало, например, найдено следующее мнение: ”При турбулентном течении возникают нерегулярные пульсации скорости и под действием происходит перемещение частиц во всех направлениях, в том числе и в поперечном.
Конвективный перенос вещества, осуществляемый под действием турбулентных пульсаций, называют турбулентной диффузией.”
Возвращаясь к нашей задаче отметим, что распространение запаха дичи в поле определяется двумя факторами:
1) Чистая диффузия, часто называемая молекулярной диффузией и
2) Ветром. Под дйствием ветра возникает турбулентность и, следовательно, турбулентная диффузия.
Соотношение их влияния зависит от многих обстоятельств. Это - сила ветра, погода, температура воздуха и земли, ровность или пересеченность местности и многое другое.
Естественно, что возникло желание провести моделирование распространения запаха при различных значениях коэффициента диффузии и при разной скорости ветра. При этом хотелось выяснить в какой степени это скажется на ”концентрации” запаха на разном расстоянии от дичи.
Заодно было интересно попытаться объяснить случаи необыкновенно дальних работ, наблюдаемых при работе легавой собаки в поле (такие случаи есть в памяти многих любителей легавых собак).
Рассматривается источник запаха как источник, который с постоянной интенсивностью испускает некоторое количество «запаховых» молекул в единицу времени. Такой подход позволяет предположить, что в непосредственной близости от дичи концентрация постоянная (Ко).
Задача состоит в том, чтобы рассчитать концентрацию в любой точке пространства при наличии ветра.
Вычисляется не реальная концентрация, а относительная концентрация в каждой точке пространства в безразмерном виде относительно Ко.
Для информации читателя сообщаем, что расчет ведется для пространства, расположенного по ветру от дичи неограниченной длины и шириной до 20 м. В случае надобности эти условия можно изменить.
Раньше ввиду малой мощности используемых компьютеров время моделирования было ограничено, что привело к тому, что рассматривался ограниченный отрезок времени после появления дичи. Теперь это время существенно расширено.
В расчете скорость ветра принимается как величина постоянная, для иной скорости ветра весь расчет нужно повторить.
Для изучения процесса распространения запаха дичи использовались законы газовой диффузии.
Была построена математическая модель, на основании закона Фика для молекулярной газовой диффузии.
Принято, что перенос пахнущего вещества в сечении перпендикулярном оси «источник-ветер» происходит за счет диффузии, а перенос вещества вдоль оси в основном - за счет ветра.
Коэффициент диффузии принят постоянным.
Отметим, однпко, что в нашем случае, под коэффициентом дмффузии понимается не молекулярная (чистая) диффузия, а то значение коэффициента, которое учитывает турбулентность потока воздуха, т. е. Оно может бвть и значительно большим,чем значения указанные в специальной литературе.
Рассчитывалась относительная концентрация в каждом элементе пространства.
Всего в исследуемой зоне рассчитывалось 20000 элементов, а в рабочей зоне оказалось около 7000 элементов. Естественно, при необходимости и размеры пространства и разбивка его на элементы и скорость ветра и др. параметры могут быть изменены.
Расчеты на модели дали результаты, представленные на рисунках и в таблице.
Модель позволяет рассчитать относительные концентрации «запаховых» молекул (т.е. тех молекул, которые являются носителями запаха дичи для собаки) при заданных величинах:
- скорость ветра:
- коэффициент диффузии;
- интенсивность запаха в непосредственной близости от источника (дичи)
При этом мы не учитывали восходящие потоки, фоновые запахи, наличие помех в виде травы, кустов, неровностей рельефа и т.д. Подразумевается, что направление ветра не меняется .
Весь расчет ведется в относительных величинах (от концентрации запаха в непосредственной близости от источникринятьа Ко)
Для изучения различных условий принят диапазон скоростей ветра от 1 до 3 метров в секунду, а для коэффициента диффузии от 0.00001 до 0.001 метра в квадрате на секунду.
Первое значение соответствует чисто молекулярной диффузии (ламинарный поток без завихрений), а второе турбулентному потоку воздуха с поперечными завихрениями.
Большой интерес вызывает влияние величины коэффициента диффузии, связанное с турбулентностью потока воздуха.
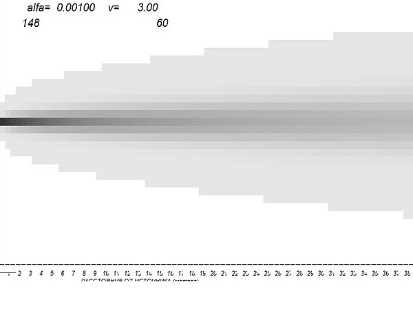
На Рис. 1,2 показано распределение концентраций по исследуемому пространству в виде полос различной концентрации по мре удаления от источника запаха. На Рис.1 для чистой млекулярной диффузии, а на Рис.2 — для турбулентного потока. Ветер 1 метр в секунду.
Следующий вопрос, который возник: как влияет скоромть ветра на форму облака запахов.
На Рис.3 приведены результаты расчета для условий таких, как на Рис.2 но для ветра 3 метра в секунду.
Проведено сравнение «силы запаха» на различном расстоянии от дичи. Один из примеров такого расчета приведен на Рис.4а показано поперечное сечения струи запаха на расстоянии 6 метров , а на Рис.4б на расстоянии 25 метров от дичи.
Объем статьи не позволяет привести все результаты расчета, поэтому они сведены в результирующую Таблицу 1.







Сравнение Рис.1 с Рис.2,3 ясно показывает, как значительно меняется картина распространения запаха при турбулентном хараетере воздушного потока. От случая, когда поток чисто ламинарный.
Это обстоятельство может обхяснить те сверхдальние работы легавых собак, которые наблюдают многие охотники.
Такие случаи, кстати, по свидетельствам охотников происходят при спокойном,ровном, несильном ветре и при работе собаки на ровных, лишенных неровностях угодьях.
Сравненте Рис.1 и Рис.2 показывает, что при увеличении скорости ветра «облако» запахов вытягивается в сторону ветра что должно привести к увеличению дальности причуивания.
Однако, может оказаться, что при увеличении скорости ветра увеличивается влияние турбулентности потока. Это приведет к размыванию «облака» и затруднит дальнее причуивание.
Моделирование проведено без учета такой зависимости, поэтому надеяться на благоприятное влияние увеличенич скорости ветра нужно с осторожностью.
В Таблице 1 приведены относительные снижения концентрации запаховых молекул на значительном расстоянии ит источника запаха по отношению к концентрации непосредственно рядом с источником.
Из таблицы видно, что для условий с ламинарным потоком ветра, гдн турбулентность не сеазывается на распространении запаха (коэффициент диффузии 0.00001) такого снижения практическинет (0.90 — 0.96).
Для турбулентного потока (коэффициент диффузии 0.001) снижение силы запаха существенное (0.13 — 0.22)..
Понятно, что в первом случае проявление очень дальнего причуивания становится реальностью.
Некоторое увеличение приведенного в таблице показателя для более сильного ветра возможно, но оно обсуждалось в данной статье выше.
Выводы
Принцип измерения чутья легавой через замеры дальности причуивания собакой птицы оказался ошибкой Р.Ф. Гернгросса и его последователей. Этому заблуждению без малого сто лет. Вроде, на первый взгляд, всё просто: чем дальше легавая причуивает дичь, тем лучше у неё острота обоняния.
Но… Изучение физики процесса диффузии и переноса запаховых частиц в воздухе показывает совершенно другую картину.
Концентрации и распределение запахового вещества в пространстве очень сильно зависят от внешних причин: от погоды и от рельефа местности. В зависимости от скорости ветра и наличия препятствий течение запаховых частиц может быть ламинарным либо турбулентным.
При ламинарном течении поток запахового вещества будет представлять собой тонкие нити, которые простираются с малыми изменениями на большие расстояния.
Примеры тому мы наблюдаем в природе, когда в процессе опыта самцы бабочек тутового шелкопряда, увезённые за 3-4-5 километров, в 90-80-75 процентах случаев возвращались назад к самке.
Не суперобоняние им в этом помогало, а внешние условия, когда вечером при небольшом ветре ламинарные нити запаха простираются очень далеко. Мы ведь тоже вечером начинаем чувствовать издалека запах фиалок, алиссума, лилий и т.д.
Другой пример – это то, как самцы белого медведя находят по запаху самок на бескрайних просторах севера.
Приведенные примеры свидетельствуют об очень тонком обонянии животных, которые, по некоторым данным, могут почувствовать буквально несколько молекул вещества в одном литре объёма.
Так, многие владельцы собак встречались с феноменом «поле пахнет», когда их собака перед пуском в поле начинает жадно вдыхать воздух, инстинктивно задирая голову или даже вставая на задние лапы, чтобы уловить тонкие признаки наличия дичи.
Вопрос: когда собака начинает чувствовать запах птицы и когда она становится в стойку? Старая теория утверждает, что существуют пороговые концентрации: первая – когда собака, причуяв птицу, изменяет поведение (переходит в потяжку), а при достижении второй пороговой концентрации становится в стойку.
Сильное возбуждение в одних участках мозга вызывает торможение в других участках, отвечающих за моторику. При этом считается, что концентрации запахового вещества почти всегда одинаковы на одинаковых расстояниях от птицы. А более чутьистой считается та собака, которая на большем расстоянии причуивает птицу.
Но!!! На практике мы наблюдаем, что одна и та же собака причуивает птиц на разном расстоянии в течение одного выступления. И уж все легашатники видели у своих собак и короткие, и супердальние работы. К тому же если дать собаке с руки понюхать птицу, она не впадает в оцепенение, никакого торможения моторики не происходит.
Результаты моделирования процессов диффузии при наличии ветра, приведенные в этой статье показывают, что концентрации запаха на определенных дистанциях зависят не столько от расстояний, сколько от других внешних факторов: скорости ветра, рельефа местности, степени турбулентности потока или его ламинарности, давления, влажности, температуры и их градиентов.
Причем концентрации в зависимости от внешних факторов могут изменяться в десятки и даже сотни раз на одних и тех же дистанциях. Также большое влияние оказывает однородность ландшафта. Над водной поверхностью запах меньше перемешивается с воздухом, и будут более дальние прихватки.
Неоднородности ландшафта усиливают турбулентность: достаточно любой кочки или впадинки в 10 см, и при ветре даже 1 м/с за ними уже образуются завихрения.
На турбулентность оказывают влияние скорость ветра, наличие даже мельчайших заслонов (кочка, куртинка травы, куст) и неровности рельефа местности (впадина, ямка, колея трактора).
С учетом размерности коэффициента диффузии 10-5 – 10-6 кв.м/сек получим тонкие линии (нити) запаха. При ламинарном течении они простираются с небольшими изменениями на огромные расстояния.
Отсюда сверхдальние причуивания, известные нам из мира природы. При турбулентности эти нити запаха хаотично перемешиваются с воздухом, и здесь двух одинаковых условий не существует. Свой вклад в турбулентность потока вносят любые заслоны.
Говорить о зависимости концентраций пахучего вещества на определенных дистанциях от самих расстояний не представляется возможным, распределения случайны.
Рассмотрим ещё один фактор, сильно влияющий на дальность причуивания, – это солнечная или пасмурная погода. Под действием солнечных лучей при ясной погоде разогревается поверхность земли, а от неё, в свою очередь, – приповерхностный слой воздуха. Разогретый воздух поднимается вверх, скорость термических (вертикальных) потоков воздуха в средней полосе в солнечный полдень, по данным планеристов, колеблется от 2 до 7 м/с. Сложив векторы скорости ветра и термика согласно правилу сложения векторов, получим результирующий вектор распространения запахового потока под углом к горизонту.
Чем больше термик и меньше ветер, тем под большим углом запах уходит вверх, следовательно, все работы собак будут короткими. И наоборот, в пасмурную погоду термик меньше, запах под меньшим углом поднимается ввысь, и работы дальние. Еще длиннее работы собак будут при инверсии, когда запах стелет вдоль земли.
Но разве это нормально – ранжировать собак по дальности причуивания – читай, по погоде? Тем более что распределение концентраций запаха на определенных дистанциях случайно, как случайна турбулентность и причины, ее вызывающие.
Не у кого не вызывает сомнения, что для легавой собаки архиважным качеством является чутьё. Легавая с хорошим чутьём не пропускает и не распугивает птиц, отличает сидки и следы от самих птиц и всех найденных птиц указывает стойкой.
Эффективность работы легавой – вот главный и основной охотничий критерий чутья собаки. Что же с дальностью причуивания? Стоит ли полностью отказаться от её измерения? Нет!
Дальность причуивания нужно учитывать, но только как косвенный признак хорошего чутья и хороших анализаторских способностей собаки, её умения пользоваться верхними течениями воздуха и высоко нести голову.
Пусть собака, показавшая дальнюю работу, получит дополнительные несколько баллов в общую расценку, но ранжировать собак по дальности причуивания как случайному фактору недопустимо!
Дальность причуивания не является определяющим фактором и тем более лимитирующим признаком чутья. Лимит с первой графы правил по степени диплома снять! Перемещенная птица теряет свой ореол «святости».
Возникает вопрос: как оценивать легавую? Ответ: по её эффективности, по рациональному, породному поиску, по твёрдой стойке, по соответствию стиля собаки её породному предназначению, по способности легко обучаться и запоминать науку натаски.
Эти графы правил должны быть лимитируемы; несоответствие собаки этим пунктам должно влечь за собой безусловное снятие собаки с испытаний.
Говоря юридическим языком, дело подлежит пересмотру по вновь открывшимся обстоятельствам. Так и Правила испытаний охотничьих качеств собак легавых пород по болотной и полевой дичи подлежат ревизии с целью устранения существующих недостатков и противоречий.
1. Антинаучное понятие «дальность чутья» убрать и заменить словами «дальность причуивания». Лимитирование по проходным баллам для дальности причуивания дипломов I, II, III степени снять как необоснованное и противоречащее научным данным.
2. Графа «верность чутья» должна быть существенно переработана. Вариант: для получения диплома I степени легавая собака должна показать поиск и стиль, приближенные к стандарту породы, при этом не допустив ни одной грубой ошибки (ни вспугивания, ни пропуска птицы, ни пустой стойки, ни недоработки, ни следовой работы).
Мелкие погрешности – -1-2 балла.
Вспугивание птицы – -3 балла.
Повторное – снятие.
Пропуск птицы – -3 балла.
Повторное – снятие.
Пустая стойка с посылом – -3 балла.
Две пустых стойки – -4 балла.
Три пустых стойки – снятие.
Две грубые ошибки в любом сочетании (кроме пустых стоек) – снятие.
3. Манера причуивания:
островные – верхняя – 5,
континентальные – верхняя с кратковременным обнюхиванием следов и сидок – 5,
островные – верхняя с кратковременным обнюхиванием следов и сидок – 4,
континентальные – преимущественно верхняя, но с обнюхиванием следов и сидок, – 4,
островные – преимущественное обнюхивание следов и сидок – снятие,
континентальные – преимущественное обнюхивание следов и сидок – снятие.
Манера причуивания, проходные баллы: 5 – Д1.
4 – Д2, Д3.
3 – снятие.
4. Скорость поиска (попородно), проходные баллы: 10-9 – Д1,
8 – Д2,
7 – Д3,
6 и меньше – снятие.
5. Манера поиска: целесообразный поиск в соответствии с породным предназначением и рабочим стандартом, ширина:
для островных – без ограничений,
для континентальных – оптимально до 100-120 м крыло на открытых местах.
При ширине поиска менее 20 м крыло на открытых местах – снятие.
Отсутствие цели поиска – снятие.
6. Отсутствие потяжки, если собака с ходу точно указала птицу, не снижает ее оценки.
7. Стойка, проходные баллы: 5 – Д1, Д2,
4 – Д3,
3 – без диплома.
8. Подводка: высшим баллом оценивается легкая подводка, по первой команде ведущего, быстрая или плавная у ноги (по обстоятельствам). Быстрая и плавная подводки равноценны.
9,10,11. Стиль, проходные баллы:
14-15 (минимум 5-5-4) – Д1,
13 (минимум 4-5-4) – Д2,
12 (минимум 4-4-4) – Д3,
получение в стилевых оценки 3 оставляет собаку без диплома.
12,13. Постановка и послушание, минимальные проходные баллы:
легавые до трех лет – 6-6 – Д2, Д3,
7-7 – Д1,
легавые старше трех лет – 6-6 – Д3,
7-7 – Д1, Д2.
14. Общий балл, минимальные проходные баллы:
70 – Д3,
75 – Д2,
80 – Д1.
При пуске легавой в поиск ей предоставляется 1 льготная минута, в течение которой ошибки ей будут прощены (кроме гоньбы), а положительные работы засчитаны. Также при смене поля льготным является 1 проход собаки влево-вправо.
П.15 правил изменить.
Для выявления рабочих качеств легавой собаке предоставляется не менее двух работ по птице. Требование перемещенной птицы убрать.
П.17 изменить и дополнить:
б) при ходе шагом или на потяжках или не демонстрирующая породного поиска, или за отсутствие цели поиска в течение 5 минут;
к) собака снимается с испытаний, если она лает в поиске;
л) при преимущественно следовой манере причуивания.
Понятие НПЧ (непровление чутья) определяется по двум грубым ошибкам.
Если кто-то подумал, что, убрав лимит с дальности причуивания, мы облегчили правила и увеличили вероятность появления дипломов Д1 и Д2, то они ошибаются. На самом деле, правила серьезно ужесточены за счет более высоких требований к верности чутья, манере причуивания, породному поиску, стойке, стилю, дрессировке и общему баллу.
Высокая эффективность легавой в соответствии с рабочим стандартом породы – вот ключ к успеху.
В дальнейшем предполагается продолжить исследование, расширив его изучением влияния «термиков» и «бегущей дичи».
Авторы: Д.С.Шаповалов, к.т.н. Москва.Ю.Н.Горегляд, физик, математик, эксперт САСТ, эксперт 1-й категории РГОО БООР по испытаниям легавых, спаниелей и ретриверов,г. Витебск, Беларусь












Комментарии (7)
Иван Максимов
@Под дйствием ветра возникает турбулентность и, следовательно, турбулентная диффузия.@, Авторы,дорогие мои, никакой турбулентность в данном случае не бывает (Г.Н. Абрамович, Теория турбулентных струй Москва, Наука 1967)
Gerent Belli
Чтоб выбрать более "чутьистую" собаку придется проводить парные пуски - сравнивать в одном месте, в одно время, в одних условиях и не по дальности потяжки, а по эффективности собаки - это уже филд трайл получается, если жёсткие требования по породному стилю добавить.
2 ответа
Владимир Масоликов
Что бы не получить легавую со слабым чутьём, необходимо завести РОСа.
Gerent Belli
Спасибо, не нада такого "счастья" ...
Алексей Стефанович
Вообще-то о турбулентности, применительно к настоящей статье корректно можно говорить, если рассматривать процесс обтекания заданного объекта потоком жидкости или газа, в данном случае воздуха. А здесь все зависит от числа Рейнольдса, определяемого для конкретного максимального поперечного линейного размера обтекаемого объекта. Самый подходящий объект - собачий нос:-)))!!! Я специально померил ширину носа своего пса.:-)))! Получилось примерно 2 см. Так вот при скорости ветра в 1 м/сек, число Рейнольдса оказывается порядка Re = 1200. Это скорее соответствует обтеканию в большей степени в ламинарном режиме. А вот при скорости ветра равной 3 м/сек, Re = 3600, а вот это уже точно обтекание собачьего носа происходит в турбулентном режиме. При скорости ветра много меньше 1 м/сек будет иметь место заведомо ламинарный режим обтекания. Поэтому авторам следовало бы рассматривать не поперечную диффузию частиц, ответственных за запах дичи, в воздушном потоке, а эффективную диффузию при обтекании собачьего носа в различных режимах обтекания. Результаты были бы куда как более корректней и более интересней. Кстати, смею предположить, что при ламинарном обтекании собачьего носа дальность чутья действительно выше, вследствие меньшего угла рассеяния частиц при обтекании, чем при турбулентном режиме. Ну и то, что дальность чутья величина случайная, этот вывод авторами сделан правильно. Хотя и с помощью модели не имеющей отношения к реальному физическому процессу.:-)))!?
Александр Болтанский
Так получилось, что эту статью увидел с опозданием, после публикации следующей, но сути это не меняет...
Очень давно умный человек по имени Исаак Ньютон сказал: «Природа проста и не роскошествует излишними причинами» Но некоторые современники с ним не согласны и пытаются свой бред облечь в наукообразную форму.
Авторы пишут, что дальность зависит от многих обстоятельств. Это - сила ветра, погода, температура воздуха и земли, ровность или пересеченность местности и многое другое и это так, но забывают про главное: НОС конкретной собаки!
Математик предлагает решать задачу, даже условия которой ему сформулировать не по силам… так много переменных величин, которые даже учесть / измерить нет никакой возможности, да и изменяются они, как Бог на душу положит…
Даже начальные условия, на которых авторы пытаются строить свои измышл не выдерживают никакой критики. Читаем:
«Рассматривается источник запаха как источник, который с постоянной интенсивностью испускает некоторое количество «запаховых» молекул в единицу времени. Такой подход позволяет предположить, что в непосредственной близости от дичи концентрация постоянная (Ко).»
Что такого в природе нет и быть не может авторов не волнует, им наукообразие подавай… О какой постоянной интенсивности речь, если есть факты запирания запаха в одном случае и что птица пукнула от испуга в другом и значит предположение, взятое за исходное, что « в непосредственной близости от дичи концентрация постоянная» не выдерживает никакой критики. И что это за величина такая в устах математика «непосредственная близость»? и если собака чуть дальше, то как?
«Задача состоит в том, чтобы рассчитать концентрацию в любой точке пространства при наличии ветра.» - а ЗАЧЕМ ее рассчитывать??? Цель какая? Что это может дать для оценки легавой? НИЧЕГО!
"В расчете скорость ветра принимается как величина постоянная, для иной скорости ветра весь расчет нужно повторить." - очень странно, что физик, который вроде должен думать, в расчетах предлагает использовать условия, которых нет и быть не может: ветер постоянно меняется по силе и направлению! и значит ведение беcсмысленных расчетов процесc бесконечный. Но самое главное достоинство предлагаемых расчетов в их полной и абсолютной никчемности ввиду невозможности применения на практике.
"Рассчитывалась относительная концентрация в каждом элементе пространства." - рассчитали и что дальше? Практическое применение каково?
"Всего в исследуемой зоне рассчитывалось 20000 элементов, а в рабочей зоне оказалось около 7000 элементов." - да хоть мульён, если исходные данные высосаны из пальца и сам подход к постановке беcсмысленной задачи не выдерживает никакой критики. Главный вопрос остается без ответа: практическая польза в чем?
"Сравнение Рис.1 с Рис.2,3 ясно показывает, как значительно меняется картина распространения запаха при турбулентном хараетере воздушного потока. От случая, когда поток чисто ламинарный." - а ЗАЧЕМ их сравнивать, если ни то, ни другое в природе в чистом виде не возможно?
ВСЕ. Надоело этот бред читать! И так вроде ясно куда может завести страсть к наукоподобию вместо того, чтобы в поле смотреть работу собак, анализировать увиденное и на основнии этого делать выводы.
Но эксперту это не интересно (или наблюдать и анализировать не способен), но это не я написал:
"И уж все легашатники видели у своих собак и короткие, и супердальние работы."
Большей глупости придумать невозможно!!!!!!!!
Супердальные работы ВСЕ легашатники видеть не могли!!!!!!! Дай Бог, если их видели хоть 10% легашатников, владеющие чутьистыми собаками. А подавляющее большинство собак не способно причуять дупеля и на 10 м при самых благоприятных условиях, их предел 6 - 8м, необходимые для Д 3.
Может господин эксперт САСТ, эксперт 1-й категории РГОО БООР по испытаниям легавых, спаниелей и ретриверов объяснит такой феномен, что у конкретной собаки есть больше 30 (!!!) Д 3 с 6 за дальность, хотя на большинстве состязаний присуждались по несколько Д 2? Это что? Карма? Колдовство? Фатальное невезение? Или, как я считаю, чутьишка маловато?
"Но разве это нормально – ранжировать собак по дальности причуивания – читай, по погоде? " - сказанное выше напрочь опровергает это измышление. . Глупо отрицать, что собаки отличаются друг от друга обонятельной способностью, которая является врожденной: есть собаки которые могут причуять птицу на 20 м и есть другие, для которых и 10 м -недостижимая вершина и для отбора в племя их ранжировать по этому качеству - задача первостепенная. Именно такой отбор позволяет получать собак, способных находить птицу там, где несколько других уже искали и ничего не нашли.
О предложениях:
"1. Антинаучное понятие «дальность чутья» убрать и заменить словами «дальность причуивания». Лимитирование по проходным баллам для дальности причуивания дипломов I, II, III степени снять как необоснованное и противоречащее научным данным." - после этого читать дальше потеряло всякий смысл...
Вспугивание птицы – -3 балла. Впечатлило, точное определение... только не понятно чего...
Если автор имел в виду подачу команды на подъем птицы на расстоянии от собаки, то при охоте на боровую дичь, зачастую – это единственный способ добыть птицу, а значит, такой прием можно и нужно использовать на охоте и испытаниях.
Ну и т.д.
1 ответ
Иван Максимов
Пожалуй лучший комментарий на невнятное "математическое" моделирование описанное в статье!